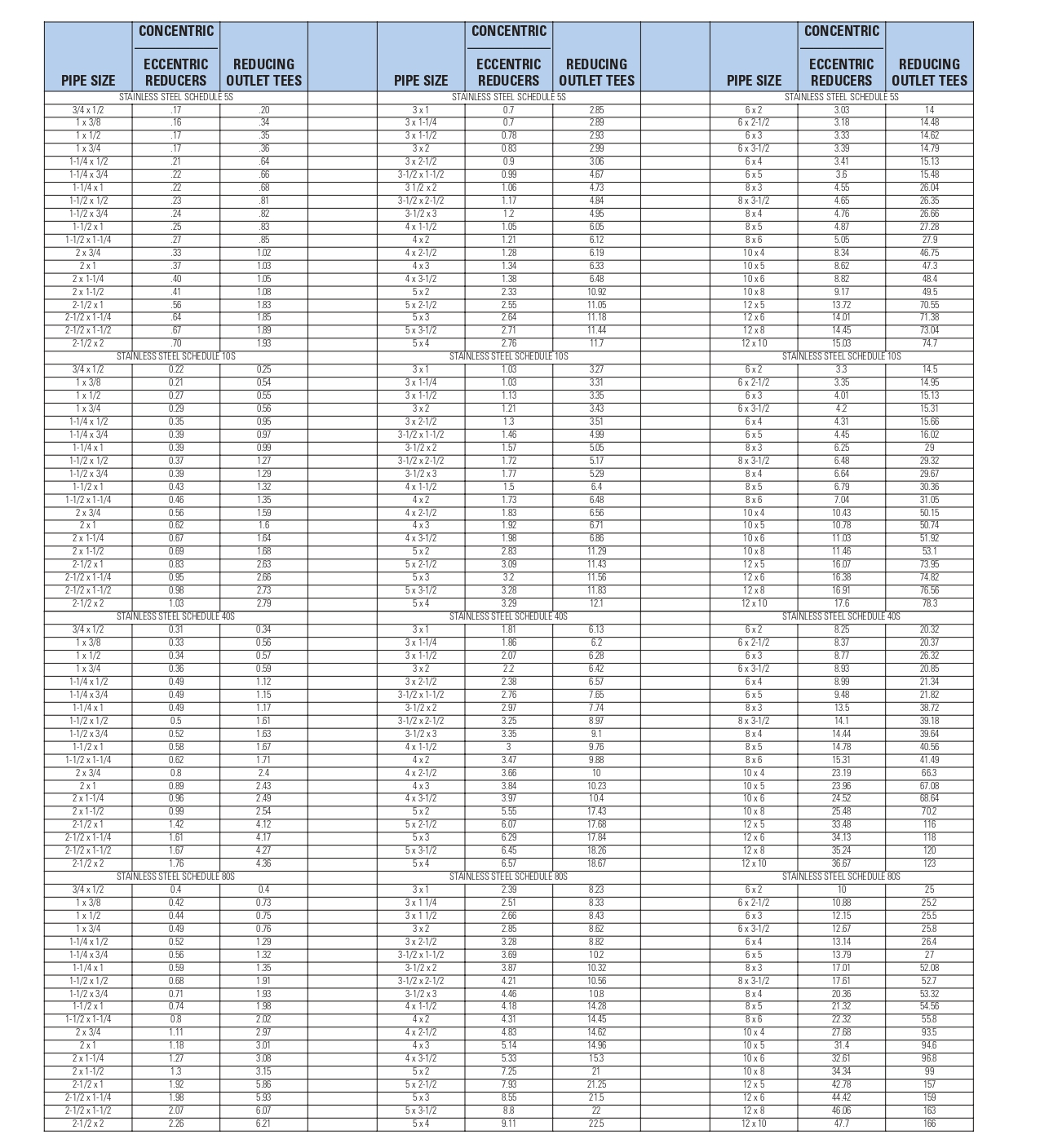
Flange & Weld Fittings Weight Chart

Two tables comparing FIFA World Cup winners and runners-up by country and year.
Table displaying weld fitting weight calculations for stainless steel.
A detailed chart showing weight conversions across various units.
Spreadsheet listing locations, dates, and times with various data points.

All information above is not guaranteed and not for design purposes.